2020 官网升级中!现在您访问官网的浏览器设备分辨率宽度低于1280px请使用高分辨率宽度访问。
浪涌电流是什么 如何抑制浪涌电流
一、什么是浪涌电流?
浪涌电流是电路打开吸收的最大电流,出现在输入波形的几个周期内。浪涌电流的值远高于电路的稳态电流,高电流可能会损坏设备或触发断路器。浪涌电流通常出现在所有磁芯的设备中,如变压器、工业电压等。
二、为什么会出现浪涌电流?
产生浪涌电流的因素有很多,比如一些去耦电容或平滑电容组成的设备或系统,在启动时会消耗大量电流对其进行充电。
下面的图可以看到浪涌电流、峰值电流和稳态电流之间的差异:

浪涌电流、峰值电流和稳态电流之间的差异
峰值电流:波形在正区域或负区域获得的电流最大值。稳态电流:定义为电路中每个时间间隔保持恒定的电流。当 di/dt = 0 时,达到稳态电流,这意味着电流相对于时间保持不变。
浪涌电流特性:
发生浪涌电流的一些示例:
三、电源转换器中的浪涌电压
为了降低输入/输出的纹波噪声或EMI噪声,现在通常是在输入侧并联电容或者滤波器,如下所示。由于滤波器中有电容,当系统开始上电时,由于输入电压的快速上升,会产生很高的浪涌电流。这种情况可能会导致前端电源供电不足,或者触发过流保护,导致无电压输出,因此,浪涌电流的抑制变得越来越重要。

a图并联电容,b图并联了滤波器
四、抑制浪涌电压的方法
1、被动抑制
如下所示,主要用于应用电路需要外接大量电容时。如果没有外部限流电路,直流母线电压开启时会产生很大的浪涌电压,可能导致前端电源压降进入保护模式。此时,只需在电容输入串联电阻和二极管即可,可以减轻浪涌电流。当直流母线通过电阻给电容充电时,可以限制浪涌电流,但是,当直流母线需要供电时,电容可以通过二极管将电能反馈给直流母线。

2、主动抑制
另一种是采用带软启动电路的有源开关来限制浪涌电流。如下所示,MOS管通过软启动电路缓慢开启,因此,可以限制启动期间的浪涌电流,优点是不影响系统效率,不受缓解温度影响。缺点是需要外接电路,整体成本较高。

采用带软启动电路的有源开关来限制浪涌电流
五、使用MOS管浪涌电流限制电路
如上所述,已经列举了2种浪涌电流方法。下面介绍使用MOS管导通电路来抑制输入电流此外,由于MOS管的导通损耗低,使用方便。优点是零件少,缺点是有功率损耗。下面介绍有源和无源浪涌电流限制电路。
1、有源浪涌电流限制电路(P-MOS管)
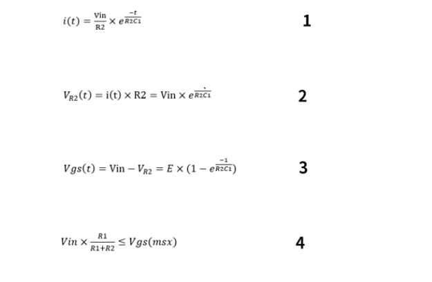
下图为使用P沟道MOS管的浪涌电流限制电路。P沟道的导通步长与N沟道基本相同,只是电压相反。在初始阶段,C1上的电压为0V。输入电压通过R2充电到C1。最后C1上的电压通过分压R1和R2之间的电压来确定。Q1 开启状态由 Vgs 电压决定。

有源浪涌电流限制电路(P-MOS管)
从MOS管特性描述来看,欧姆模式最适合抑制浪涌电流。至于R1、R2、C1的计算,可以用下面的公式:

在相同的R1下,C1越大,MOS管工作在欧姆模式的时间越长,这意味着限制浪涌电流的效果会更好。
2、无源浪涌电流限制器电路
一般的无源方式是在输入端串联一个热敏电阻,但由于热敏电阻受环境温度影响较大,当环境温度较高或输入电源多次快速开闭,将起不到保护作用。下图给出了可以改善这种现象的电路,使用二极管和电阻并联,与电容并联。不仅可以抑制浪涌电流,而且不容易受温度变化或者输入电源快速打开和关闭多次的影响。工作原理是当有输入电压时,输入电压通过给R1和Cl充电,当系统负载需要电源时,Cl通过二极管向负载放电。

无源浪涌电流限制器电路
从图中可以看出R1与浪涌电流成反比,因此可以通过以下公式计算R1:

R1 损失

阻力损失可以通过公式(6)得到。
六、结论
为了加强DC/DC转换器的抗噪声能力,常用的方法是在输入端加电容。但由于电容的特性,会在电源输入端产生浪涌电流。如果不抑制浪涌电流,输入电源可能因保护电路而无输出,并可能损坏输入电路或保险丝。上面介绍两种抑制浪涌电流的方法,一种是利用MOSFET的导通特性来抑制浪涌电流。另一种是使用无源元件,通过电阻给电容充电,然后通过二极管放电回系统。有源抑制电路的效果优于无源抑制电路,但元件数量多于无源抑制电路。无源抑制电路的元器件使用最少,但必须考虑电阻的损耗和功率选择。

免责声明:本文转自网络,版权归原作者所有,如涉及作品版权问题,请及时与我们联系,谢谢!